Crescimento e especialização produtiva da agropecuária
entre estados do nordeste brasileiro
Growth and agricultural production expertise among
states of northeast Brazil
Monaliza de Oliveira-Ferreira
Kelly Samá Lopes de Vasconcelos*
Abstract
The objective
was to analyze the productive specialization of agriculture in the Northeast,
an analysis considering mesoregions in the States of Bahia, Pernambuco and
Ceara. The method used in this study consisted of the specialization index and
analysis of data from the last Census on Agriculture. For the comparative
analysis between the States, Pernambuco presents a more concentrated production
structure in relation to other states. It follows that there is need for
specific policies aimed at municipalities and/or States that did not receive
the same incentives in order to mitigate the accelerated rural-urban migration.
Keywords: sustainable rural development, agricultural growth,
productive specialization.
Resumo
O objetivo do trabalho consistiu em analisar a especialização
produtiva da agropecuária no nordeste, considerando uma análise entre os
estados da Bahia, Pernambuco e Ceará. O método utilizado neste estudo consistiu
do índice de especialização e análise de dados do último Censo Agropecuário. Na
análise comparativa entre os estados, Pernambuco apresenta-se com uma estrutura
produtiva mais concentrada relativamente aos demais estados. Conclui-se que são
cada vez mais necessárias políticas específicas voltadas para os municípios
e/ou estados que não receberam os mesmos incentivos, no intuito de amenizar o
processo acelerado de migração rural-urbana.
Palavras chave:
desenvolvimento rural sustentável, crescimento da agropecuária, especialização
produtiva.
*Universidade
Federal de Pernambuco (Ufpe-caa). Correos-e: monaliza.ferr@gmail.com, kellydevasconcelos@ig.com.br
Introdução
No Brasil, a agricultura apresentou diversos padrões
de crescimento desde a década de 1970. Em princípio, o crescimento agrícola
deu-se mais particularmente em razão da expansão da área cultivada. Nos anos
posteriores, outros fatores explicaram as alterações na agropecuária
brasileira, tais como o maior uso de máquinas, equipamentos e fertilizantes que
levaram ao aumento da produtividade agrícola, como registros dos Censos
Agropecuários. Esses relatórios do ibge
dispõem de informações referentes à evolução de produtos e insumos definidores
para entender o processo de transformação da agricultura brasileira. Como
colocam Alcântara-Filho et al.
(2008), as variáveis são utilizadas como proxys dos fatores de produção (e também dos produtos),[1]
tal como indicados na teoria microeconômica.
De acordo com as informações divulgadas pelo ibge-Censo Agropecuário (2006), o número
de estabelecimentos rurais aumentou em todas as regiões do Brasil, relativamente
ao censo anterior. A região nordeste respondeu por 47.4% dos estabelecimentos
em 2006 e apresentou um crescimento de 6.13%
entre 1996 e 2006, enquanto o Brasil como um todo teve um crescimento de
7.08%.
Observando-se a tabela 1, pode-se
verificar que o número de estabelecimentos rurais no Nordeste brasileiro também
aumentou de 1970 até 1985. A queda na década de 1980 justifica-se pela situação
macroeconômica nacional, com escassez de investimentos públicos e privados e
alto processo inflacionário, que acabaram afetando o crescimento econômico
também no setor primário da economia. Esse padrão repete-se no que se refere à
utilização das terras com lavouras, pastagens, matas e florestas; e com o
número de pessoas ocupadas no setor. Contudo, chama a atenção o fato do número
de tratores ser crescente ao longo do tempo, o que vai se refletir em aumento
de produtividade agrícola. O efetivo de bovinos, a exemplo do resto do país,
destaca-se em meio ao total de animais, assim como a produção de leite de vaca relativamente
ao total da produção animal.
Tabela 1
Evolução
dos dados estruturais dos Censos Agropecuários–região nordeste (1970/2006)

Fonte: ibge-Censo Agropecuário (2006).
Nota: Lavoura permanente somente foi pesquisada a área colhida
para os produtos com mais de 50 pés em 31.12.2006. (1) Lavouras permanentes,
temporárias e cultivo de flores, inclusive hidroponia e plasticultura, viveiros
de mudas, estufas de plantas e casas de vegetação e forrageiras para corte. (2)
Pastagens naturais, plantadas (degradadas e em boas condições). (3) Matas e/ou
florestas naturais destinadas à preservação permanente ou reserva legal, matas
e/ou florestas naturais, florestas com essências florestais e áreas florestais
também usadas para lavouras e pastoreio de animais. (4) Em 1995-1996 o pessoal
ocupado com laços de parentesco com o produtor que trabalhavam no
estabelecimento e recebiam salários foram incluídas como empregados contratados
sem laço de parentesco com o produtor.
De acordo com Magno-Mendes et al. (2009), a partir da década de 1980, a redução nos
investimentos em infraestrutura levou à queda de lucratividade e
competitividade das empresas, o que acarretou em redução de investimentos
privados e queda no pib. Na
agricultura, o efeito pode ter sido o menor aumento da produtividade e da
produção, com possíveis efeitos negativos na competitividade externa e nas
perspectivas de crescimento sustentável de longo prazo.
Sidemar Presotto-Nunes (2008), a partir de 1996, o
aumento da produção tem sido mais em função do aumento da área cultivada do que
dos ganhos de produtividade. Contudo, destaca que alguns instrumentos de
política agrícola, tributária e social contribuíram para as modificações no
meio rural brasileiro no período entre 1996 e 2006. Dentre eles destacaram-se a
Lei Kandir (1996), que isentou os produtos agrícolas exportados do icms; o aumento do crédito rural
controlado; a criação do Programa Nacional de Fortalecimento da Agricultura
Familiar (Pronaf); a ampliação da Previdência Social Rural; e o assentamento de
922,000 famílias, através da Reforma Agrária.
Para Alcântara-Filho et al. (2008), a dinâmica da agricultura brasileira
apresentou dependência espacial entre as microrregiões analisadas, de forma que
as regiões que em 1996 eram intensivas, na utilização de terra, trabalho e
capital (tratores), em 2006, tenderam a permanecer com as mesmas
características, influenciando positivamente as regiões vizinhas. Ademais,
destacaram a relação inversa entre o número de trabalhadores com laços de
parentesco e as variáveis, área utilizada e tratores, revelando um processo de
elevação de utilização de áreas com uso intensivo de capital e mão de obra
contratada.
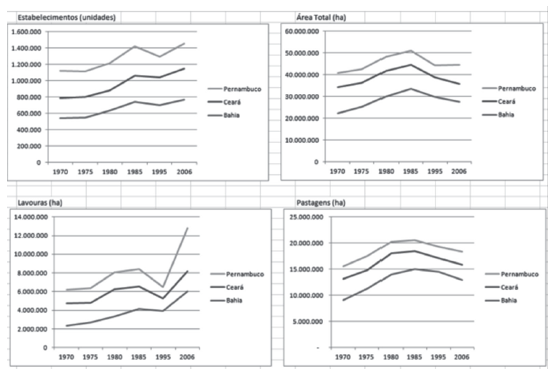
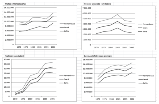
Os Estados da Bahia, Ceará e Pernambuco apresentam um
quadro semelhante à trajetória do nordeste como um todo. Na Gráfico i, pode-se observar que o Estado de
Pernambuco sobressai-se aos outros estados considerados quanto aos números de
estabelecimentos rurais, áreas desses estabelecimentos, terras utilizadas
(lavouras, pastagens e matas/florestas), pessoal ocupado, tratores e efetivo de
bovinos. A exemplo de outras regiões do país, todos os estados selecionados
apresentaram uma trajetória decrescente desses indicadores a partir de 1985.
Houve recuperação quanto ao número de estabelecimentos e lavouras, já as pastagens
continuaram declinando ao longo do tempo.
Na Gráfico ii,
chama a atenção à trajetória crescente do número de tratores (proxy de capital) e a redução
continuada do pessoal ocupado. O aumento no número de tratores pode ser
traduzido como uma maior difusão tecnológica no campo, tendo em vista a maior
facilidade de crédito voltado para o setor; já a redução de pessoal, pode estar
relacionada tanto ao processo de êxodo rural quanto à mudança de atividade
econômica da população rural, ou seja, mais pessoas estão envolvidas com
atividades não agrícolas remuneradas (incluindo os programas de transferência
de renda condicionada).
Não restam dúvidas de que a
região cresceu no período analisado. Contudo, tem-se como hipótese norteadora
que esse crescimento não ocorreu da mesma forma nos diversos setores e/ou
regiões analisados. Portanto, verificar as mudanças ocorridas na agropecuária
nordestina, por mesorregiões dos Estados selecionados, no período de 2004 a
2011, em termos de especialização/diversificação produtiva é o propósito deste
estudo.
Gráfico I
Evolução
dos dados estruturais dos censos agropecuários por estados selecionados

Fonte:
IBGE-Censo Agropecuário (2006).

Fonte:
ibge-Censo Agropecuário (2006).
Por fim, cabe ressaltar a ineficiência da assistência
técnica rural sobre a pequena agricultura, especialmente no nordeste
brasileiro, possivelmente um dos fatores causadores de tal desigualdade entre o
crescimento do setor no Brasil. O Censo
Agropecuário de 2006 revela que 21% dos estabelecimentos rurais
receberam orientação ocasional de pessoa qualificada, 28% receberam orientação
regular e 51% disseram que não receberam nenhuma orientação, dentre os 330,000
produtores questionados sobre o tema. Nas regiões norte e nordeste, esses
números sobem para 56% e 69%, respectivamente (ibge-Censo
Agropecuário, 2006).
1. Metodologia
Tendo como referencial teórico alguns estudos
brevemente abordados a seguir, este artigo analisa a evolução da agropecuária
no nordeste, a partir dos conceitos de especialização/diversificação produtiva,
fazendo um estudo comparativo entre os estados da Bahia, Pernambuco e Ceará.
1.1. Referencial teórico
O que determina o crescimento do produto de um país ou
região? Em toda a história econômica, muitos economistas tentaram responder a
essa questão. Para os fisiocratas, a terra era o principal elemento da
produção; Adam Smith elegeu o capital como elemento fundamental; Karl Marx
enfatizou o papel do trabalho; Joseph Schumpeter mostrou a importância da
inovação tecnológica. Estudos mais recentes apontam para um conjunto de
elementos tais como a organização dos produtores, mercado, tecnologia. Em suma,
terra, trabalho e capital. O conjunto desses elementos determina o crescimento
do produto do setor rural que impulsionará o crescimento do produto do setor
urbano.
Garcia-Gasques e Peres-Rodrigues (1997, 2000, 2001)
realizaram estudos para as unidades federativas do Brasil, a partir dos dados
dos Censos de 1970 a 1995/96, no intuito de medir as produtividades total e
parcial, além de verificar padrões de produção e mudanças estruturais; Ferreira
et al. (2006a e
2006b) realizaram estudos sobre a produtividade total dos fatores, padrão de
especialização e mudança estrutural para a agropecuária cearense, desagregado
por mesorregiões; Alcântara-Filho et al. (2008) utilizaram a abordagem espacial para observar
as transformações estruturais da agricultura brasileira entre os Censos
Agropecuários de 1996 e 2006; Presotto-Nunes (2008) analisou dados da estrutura
produtiva e da produção pecuária do Censo Agropecuário de 2006, com destaque
para o Sudoeste Paranaense; Magno-Mendes et al. (2009) observaram que os
investimentos em infraestrutura no Brasil reduziram-se a partir da década de
1980, afetando a produtividade total dos fatores, seguidos por investimentos em
pesquisa, telecomunicações, irrigação e energia elétrica; Gonçalves-Silva
(2009) examinou os efeitos do crédito rural, gastos com pesquisa, rodovias
federais pavimentadas e das terras irrigadas sobre a produtividade total dos
fatores na agropecuária brasileira para o período de 1975-2007.
Esses autores basearam-se em estudos mais antigos como os de
Garcia-Gasques e Monteiro-Villa Verde (1990) apud Garcia-Gasques e Peres-Rodriguez (1997, 2000 e 2001), os quais mostram que a partir
dos anos 1980 o crescimento da agricultura brasileira deu-se em função dos
ganhos de produtividade. Esse crescimento, no entanto, não ocorre de forma
semelhante para todos os produtos agrícolas, uma vez que produtos exportáveis
crescem mais do que produtos domésticos, segundo Homem de Mello (1988) apud Garcia-Gasques e Peres-Rodriguez (1997,
2000 e 2001).
Rosa do Santos et al. (2012) discutiram os motivos e
as questões institucionais e estruturais que levam à heterogeneidade na
agropecuária brasileira. O estudo revelou uma elevada especialização produtiva
e concentração de renda e recursos que afetam o desenvolvimento sustentável do
setor em suas diversas dimensões. Analisadas do ponto de vista da
heterogeneidade estrutural, as políticas públicas teriam sido falhas tanto na
difusão de tecnologia aos produtores como também no incentivo ao ganho de
escala nesse grupo. Disparidades inter-regionais destacadas também
evidenciariam a fragilidade de grande parte de produtores, mostrando as
distintas trajetórias da agropecuária brasileira.
Vieira-Filho e Silveira (2012) fizeram uma revisão
crítica da literatura sobre a mudança tecnológica na agricultura, contrapondo a
visão tradicional a uma alternativa do crescimento agrícola. Na literatura
tradicional, apresentaram elementos como difusão tecnológica, dualismo
produtivo e inovação induzida. Na visão que denominaram de dinâmica, apresentaram a abordagem alternativa do crescimento
agrícola, destacando fatores como a importância das inovações e da
capacidade de absorção de conhecimentos. A grande limitação dos estudos
tradicionais, segundo os autores, dar-se-ia pelo fato de que ao abordar o
crescimento agrícola, a literatura mais tradicional deixaria de lado elementos
essenciais na explicação do fenômeno produtivo, tais como a ausência de
explicações da busca tecnológica e do processo de aprendizado.
Padrão et al. (2012), em estudo sobre os determinantes estruturais
sobre a produção brasileira de grãos, concluíram que a produção de grãos no
Brasil vem passando por uma reestruturação, com a incorporação de novas áreas
de cultivo, como o norte e nordeste brasileiro, mediante o investimento em
tecnologia aliado a potencial produtivo e competitivo do país para tais
culturas.
1.2. Material e métodos
A ideia inicial deste estudo era calcular a
produtividade total dos fatores por setores da agropecuária, para as cidades
selecionadas nos estados nordestinos analisados, a exemplo do estudo realizado
por Ferreira et al.
(2006a e 2006b) para as mesorregiões cearenses, que aplicaram os mesmos métodos
para analisar o crescimento e as mudanças estruturais da agropecuária cearense,
a partir dos dados dos censos agropecuários (1975, 1980, 1985 e 1995 y 1996).
Entretanto, tendo em vista a dificuldade de acesso aos dados de preços de
produtos e insumos, para esta análise desagregada, o estudo limitou-se a
análise de especialização/diversidade da produção, com o intuito de entender a
evolução do perfil produtivo dos municípios selecionados em cada região
analisada.
1.2.1. Índice de especialização
O índice de especialização tem sido muito utilizado
nas análises de transformações na agricultura, sendo construído a partir da
participação de cada produto no valor da
produção dos produtos de cada setor considerado (lavoura temporária,
lavoura permanente ou produtos de origem animal). Quanto maior for esse índice,
menor será o grau de especialização. Esse índice foi determinado pela expressão
1:

Em que Sat refere-se à participação do
produto “a” no valor total dos produtos selecionados em determinado período de
tempo.
Em valores absolutos o índice não quer dizer muita
coisa, mas observando ao longo do tempo pode-se perceber se a estrutura
produtiva daquela região, no período considerado, tem natureza de
especialização produtiva ou diversificação dos produtos. Obviamente, a
especialização em si não é uma coisa ruim e pode estar relacionada a ganhos de
produtividade advindos de vantagens comparativas, mas a diversificação da
estrutura produtiva, com base em introdução tecnológica, tem efeitos positivos
sobre emprego e renda. Além de reduzir os riscos do produtor rural, inerentes
ao processo produtivo no setor.
1.3. Área de estudo
O Estado da Bahia apresenta uma população rural de
3.916.214 habitantes. O estado detém uma área total de 564.693 Km², sendo uma
área equivalente a 25.328.470 hectares disponíveis para as atividades
agrícolas. Além disso, apresenta-se com aproximadamente 736.433
estabelecimentos rurais. As cidades em estudo são as seguintes: Juazeiro com
37.198 pessoas morando em áreas rurais e 4.297 unidades de estabelecimentos
agropecuários, Paulo Afonso possui 14.962 moradores rurais com ainda 2.247
propriedades e por fim Vitória da Conquista com 31.569 habitantes rurais e
3.810 estabelecimentos (ibge-Censo
Agropecuário, 2006).
No Ceará, a população rural é de
2.104.065. Com uma faixa territorial de 148.826 Km2,
disponibilidade de 7.226.147 hectares para áreas agrícolas e 368.818
estabelecimentos rurais. As Cidades selecionadas para o presente trabalho foram
Crato com 20.525 moradores rurais proprietários de 3.250 estabelecimentos,
Juazeiro do Norte detém uma população rural de 9.815 pessoas com 2.035
propriedades e ainda Sobral com 21.938 pessoas residentes na zona rural
possuindo ainda 4.231 unidades de estabelecimentos agropecuários (ibge-Censo Agropecuário, 2006).
Em Pernambuco, existem 1.746.164 habitantes rurais. A
extensão territorial é de 98.312 Km2, com 4.974.587 hectares de
terras agricultáveis e 297.894 estabelecimentos rurais. Foram escolhidas também
três cidades, Caruaru possui 36.853 habitantes rurais com 4.145 propriedades
rurais, Garanhuns 14.048 moradores rurais e 3.088 estabelecimentos, finalmente
Petrolina com uma população rural de 74.772 e 5.213 unidades de propriedades
rural (ibge-Censo Agropecuário,
2006).
Tabela 2
Principais características
das áreas selecionadas
|
Características
das áreas selecionadas |
Capital |
Área (Km²) |
Nº
Municípios |
População
2010 |
Nº Estabelecimentos
rurais |
|
Bahia |
Salvador |
564.693 |
417 |
14.021.432 |
736.433 |
|
Ceará |
Fortaleza |
148.826 |
184 |
8.448.055 |
368.818 |
|
Pernambuco |
Recife |
98.312 |
185 |
8.796.032 |
297.894 |
Fonte: ibge-Informações
Censo Demográfico (2010) e Censo Agropecuário (2006), Instituto Brasileiro de
Geografia e Estatística (ibge),
Coordenação do Censo Demográfico, Versão impressa, Rio de Janeiro, Brasil.
Na tabela 3,
percebe-se que a Bahia apresenta-se com importante participação na produção
nordestina de soja, milho, banana e feijão. Já o Ceará destaca-se na produção
de milho, feijão e banana; enquanto Pernambuco tem maior representatividade na
produção de mandioca (macaxeira) e cana de açúcar.
Tabela 3
Participação na produção de alguns produtos
selecionados por região no total do nordeste (%)
|
Áreas
selecionadas |
Cana
de açúcar |
Mandioca |
Milho |
Feijão |
Soja |
Banana |
|
Bahia |
5 |
15 |
32 |
25 |
58 |
28 |
|
Ceará |
1 |
5 |
29 |
36 |
0 |
26 |
|
Pernambuco |
28 |
29 |
9 |
25 |
0 |
25 |
Fonte: ibge-Censo
Agropecuário (2006).
1.4. Definição das
variáveis e fonte dos dados
Foram
utilizados os valores monetários dos produtos por setores lavouras temporárias,
lavouras permanentes e produtos de origem animal, constantes na Produção
Agrícola Municipal (ppm) e
Produção Pecuária Municipal (ppm),
ambos publicados pelo ibge. Essas
variáveis encontram-se relacionadas no tabela 4.
Tabela 4
Produtos
utilizados no cálculo do índice de especialização
|
Lavoura
temporária |
Lavoura
permanente |
Produtos
de origem animal |
|
Abacaxi |
Abacaxi |
Ovos de
galinha |
|
Algodão
herbáceo (em
caroço) |
Abacate |
Ovos de
codorna |
|
Alho |
Algodão
arbóreo (em caroço) |
Mel de
abelha |
|
Amendoim
(em casca) |
Banana
(cacho) |
Casulos
do bicho-da-seda |
|
Arroz (em
casca) |
Borracha
(látex coagulado) |
Lã |
|
Aveia (em
grão) |
Cacau (em
amêndoa) |
Leite |
|
Batata-doce |
Café (em
grão) |
|
|
Batata-inglesa |
Caqui |
|
|
Cana-de-açúcar |
Castanha
de caju (toneladas) |
|
|
Cebola |
Chá-da-índia
(folha verde/ toneladas) |
|
|
Centeio
(em grão) |
Coco-da-baía
(mil frutos) |
|
|
Cevada
(em grão) |
Dendê
(folha verde) |
|
|
Ervilha
(em grão) |
Erva-mate
(folha verde) |
|
|
Fava (em
grão) |
Figo |
|
|
Feijão
(em grão) |
Goiaba |
|
|
Fumo (em
folha) |
Guaraná
(semente) |
|
|
Girassol
(em grão) |
Laranja |
|
|
Juta
(fibra) |
Limão |
|
|
Linho
(semente) |
Maçã |
|
|
Malva
(fibra) |
Mamão |
|
|
Mamona
(baga) |
Manga |
|
|
Mandioca |
Maracujá |
|
|
Melancia |
Marmelo |
|
|
Melão |
Noz
(fruto seco) |
|
|
Milho (em
grão) |
Palmito |
|
|
Rami
(fibras) |
Pêra |
|
|
Soja (em
grão) |
Pêssego |
|
|
Sorgo (em
grão) |
Pimenta-do-reino |
|
|
Tomate |
Sisal ou
agave (fibra) |
|
|
Trigo (em
grão) |
Tangerina |
|
|
Triticale
(em grão) |
Tungue
(fruto seco) |
|
|
|
Urucum
(semente) |
|
|
|
Uva |
|
Fonte:
ibge-pam-ppm (2005, 2006, 2007, 2008 e 2009).
Cabe destacar que
para a análise de comparação entre produtos, faz-se necessário considerar os
valores monetários ao invés de quantidades produzidas, já que não é possível a
comparação com unidades de medidas diferentes. Os valores das produções foram
atualizados a preços constantes de dezembro
de 2011 e deflacionados pelo igp-di/fgv, já que o estudo
considerou o período de 2004 a 2011.
Outra
consideração que deve ser feita é que em estudos correlatos, o mesmo método foi
utilizado com dados do Censo Agropecuário, basicamente porque complementavam o
estudo das produtividades e mudança estrutural, que necessitam de informações
não só dos produtos, mas também dos insumos, somente disponíveis nos Censos.
Portanto, é uma novidade realizar o estudo com base na pam e ppm. O
ganho analítico que se obtém é a vantagem de se ter dados mais atualizados,
tendo em vista que o último Censo Agropecuário data de 2006.
Além disso, como
a publicação é anual, tem-se o acompanhamento da estrutura produtiva em
períodos mais curtos. Obviamente, se o estudo considerasse observar a percepção
de mudanças estruturais, ter-se-ia que recorrer aos dados dos Censos, porque
mudanças estruturais necessitam de um maior período de tempo para serem
observadas. Nesse sentido, entende-se como um ganho o uso de pam-ppm ao invés dos censos
agropecuários, que têm uma disponibilidade muito mais restrita (1970, 1975,
1980, 1995/96, 2006).
2. Resultados e
discussão
Como visto em
Ferreira et al.
(2006b) e Garcia-Gasques e Peres-Rodrigues (2000a, 2000b, 2001), os índices de
especialização refletem o perfil produtivo de cada região. O menor índice
revelará um maior grau de especialização produtiva relativamente às outras
regiões ou menor grau de diversificação da produção.
Pela observação do gráfico iii, relativo à lavoura temporária, vê-se que o Estado de
Pernambuco apresenta um índice de especialização inferior aos índices da Bahia
e Ceará. Isso significa que, no período analisado, o Estado do Ceará apresentou
maior diversificação das culturas temporárias, relativamente às outras regiões
consideradas, com um padrão muito semelhante ao da região nordeste como um
todo. Contudo, deve-se ressaltar que o Estado do Ceará apresentou mudanças na
trajetória produtiva ao longo do período analisado, isso pode significar que
houve maiores instabilidades na região, quer sejam por fatores climáticos,
econômicos ou políticos.
No gráfico iv,
observa-se que, quanto às lavouras permanentes, a Bahia apresenta-se com
produção mais diversificada, com padrão muito próximo do Nordeste. Convém
ressaltar que em 2007 há uma mudança nesse padrão, com maior especialização da
produção na Bahia, o que acaba se refletindo no nordeste como um todo.
Mais uma vez Pernambuco apresenta-se como a região com
maior nível de especialização. Esse comportamento pode ser explicado de formas
distintas. No caso das lavouras permanentes, esse maior nível de especialização
pode indicar maiores vantagens comparativas entre a produção daqueles produtos com as demais regiões, muito
provavelmente em virtude
de questões climáticas, já no caso das lavouras permanentes, destacase a
atuação da produção de manga, uva e outras frutas (em menor escala) no Vale do
São Francisco, em Petrolina.
Nessa região, há grande especialização na produção,
com utilização de alta tecnologia e agricultura irrigada, além das vantagens
competitivas advindas do arranjo produtivo local. Aproximadamente 90% da manga
e uva exportadas no Brasil são oriundos dessa região, de forma que os produtos são exportados com o selo “Vale do São
Francisco” (Ferreira e Barreto-Sampaio,
2009). Essa produção desenvolve-se o ano inteiro e grandes investimentos
públicos e privados são direcionados ao setor.
Gráfico III
Índice de especialização para regiões selecionadas:
Lavouras
temporárias

Fonte:
elaboração própria, dados da pesquisa.
Gráfico iv
Índice de
especialização para as grandes regiões selecionadas: Lavouras permanentes

Fonte:
elaboração própria, dados da pesquisa.
No gráfico 3, relativo à produção de origem animal,
percebe-se que, de uma maneira geral, a produção é muito concentrada. Ou seja,
as regiões especializam-se em poucos produtos. Contudo, observa-se um padrão de
crescimento da diversificação no Ceará, enquanto a Bahia vai se tornando mais
especializada em poucos produtos.
Gráfico v
Índice de especialização para as grandes
regiões selecionadas:
produtos de
origem animal

Fonte: elaboração própria, dados da pesquisa.
Observando-se os dados da tabela
5, percebe-se que os resultados por mesorregião corroboram com os resultados
anteriores. O Estado da Bahia apresenta menor diversificação da estrutura
produtiva no que se refere à produção de origem animal. Na análise mais
detalhada, por municípios mesorregiões, o Centro Oeste Baiano apresenta-se com
padrão menos diversificado quantos às lavouras. Quanto à produção pecuária e
produtos derivados, o Sul da Bahia mostra-se com uma tendência clara de especialização
ano após ano.
Tabela 5
Índice de especialização por mesorregiões da
Bahia
|
Mesorregiões |
2004 |
2005 |
2006 |
2007 |
2008 |
2009 |
2010 |
2011 |
|
|
Lavoura
temporária |
|||||||
|
Bahia |
5,90 |
6,44 |
7,56 |
7,17 |
6,43 |
6,64 |
7,05 |
5,31 |
|
1 Extremo
Oeste Baiano |
2,91 |
2,81 |
2,82 |
2,87 |
2,86 |
2,77 |
2,91 |
2,77 |
|
2 Vale
São - Franciscano da Bahia |
4,92 |
5,75 |
4,89 |
4,74 |
4,07 |
4,63 |
4,39 |
5,54 |
|
3 Centro
Norte Baiano |
5,38 |
5,42 |
6,09 |
5,33 |
6,25 |
6,34 |
7,13 |
7,42 |
|
4
Nordeste Baiano |
2,91 |
2,89 |
3,37 |
2,47 |
3,08 |
3,34 |
2,97 |
4,34 |
|
5
Metropolitana de Salvador |
2,82 |
3,81 |
3,58 |
3,58 |
3,23 |
2,82 |
3,75 |
3,61 |
|
6 Centro
Sul Baiano |
4,97 |
6,71 |
6,85 |
6,68 |
5,75 |
5,90 |
5,33 |
6,24 |
|
7 Sul
Baiano |
2,99 |
3,73 |
3,40 |
3,42 |
3,21 |
3,23 |
3,02 |
2,63 |
|
|
Lavoura
permanente |
|||||||
|
Bahia |
7,44 |
9,07 |
9,05 |
8,68 |
8,55 |
8,54 |
8,43 |
8,40 |
|
1 Extremo
Oeste Baiano |
2,54 |
2,76 |
2,22 |
2,74 |
2,60 |
2,55 |
2,60 |
2,25 |
|
2 Vale
São-Franciscano da Bahia |
2,90 |
2,62 |
2,69 |
2,89 |
3,42 |
3,45 |
3,82 |
3,76 |
|
3 Centro
Norte Baiano |
2,55 |
2,57 |
2,16 |
2,54 |
2,57 |
2,69 |
2,74 |
2,76 |
|
4
Nordeste Baiano |
3,60 |
3,44 |
3,29 |
3,24 |
3,33 |
3,58 |
3,50 |
3,46 |
|
5
Metropolitana de Salvador |
3,18 |
2,35 |
3,95 |
3,59 |
4,47 |
3,51 |
2,79 |
2,94 |
|
6 Centro
Sul Baiano |
4,04 |
3,55 |
3,67 |
3,49 |
3,67 |
4,11 |
4,23 |
3,63 |
|
7 Sul
Baiano |
3,37 |
4,50 |
4,36 |
5,04 |
5,01 |
4,04 |
3,91 |
4,49 |
|
|
Produção
de origem animal |
|||||||
|
Bahia |
1,70 |
1,72 |
1,66 |
1,49 |
1,47 |
1,40 |
1,45 |
1,40 |
|
1 Extremo
Oeste Baiano |
2,01 |
1,97 |
1,95 |
1,71 |
1,71 |
1,44 |
1,60 |
1,70 |
|
2 Vale
São - Franciscano da Bahia |
1,53 |
1,54 |
1,48 |
1,31 |
1,27 |
1,25 |
1,31 |
1,35 |
|
3 Centro
Norte Baiano |
2,05 |
2,08 |
2,04 |
1,65 |
1,67 |
1,45 |
1,60 |
1,50 |
|
4
Nordeste Baiano |
1,95 |
2,00 |
1,90 |
1,93 |
1,84 |
1,94 |
1,96 |
1,74 |
|
5
Metropolitana de
Salvador |
1,59 |
1,43 |
1,52 |
1,43 |
1,38 |
1,36 |
1,3 |
1,41 |
|
6 Centro
Sul Baiano |
1,41 |
1,38 |
1,38 |
1,32 |
1,33 |
1,33 |
1,36 |
1,38 |
|
7 Sul
Baiano |
0,44 |
0,43 |
0,43 |
0,42 |
0,42 |
0,41 |
0,42 |
0,42 |
Fonte: elaboração própria, dados da
pesquisa.
Na análise do Ceará (tabela 6), observa-se que a
mesorregião dos Sertões Cearenses apresenta um padrão de menor diversificação
quanto à produção de lavouras temporárias. Relativamente às lavouras
permanentes, o destaque dá-se para a mesorregião do Centro Sul Cearense. Com
relação aos produtos de origem animal, deve-se observar que não há distinção
entre as mesorregiões, todas apresentando baixo nível de especialização, a
exemplo do Estado.
Cabe destacar que no Estado do Ceará 95% do território
é classificado como semiárido, o que justificaria, em parte, o baixo padrão de
diversificação produtiva, uma vez que a maior parte da produção agrícola na
região dá-se em forma de sequeiro (sem a introdução da irrigação). Contudo, fogem deste escopo as mesorregiões do
norte e noroeste Cearense. No norte Cearense há melhores solos e
regularidade climática, inclusive com destaque na produção de flores na Serra
de Baturité e uso de agricultura irrigada no Baixo Acaraú; no noroeste Cearense
há regularidade climática, os solos são mais férteis e uma pecuária com melhor
padrão de organização (Ferreira et al., 2006b).
Tabela 6
Índice de
especialização por mesorregiões do Ceará
|
Mesorregiões |
2004 |
2005 |
2006 |
2007 |
2008 |
2009 |
2010 |
2011 |
|
|
Lavoura
temporária |
|||||||
|
Ceará |
7,23 |
7,11 |
6,04 |
7,83 |
6,00 |
6,96 |
6,94 |
4,94 |
|
1
Noroeste Cearense |
4,91 |
4,93 |
4,89 |
5,24 |
5,16 |
5,08 |
4,78 |
5,12 |
|
2 Norte
Cearense |
5,08 |
4,96 |
5,01 |
5,32 |
4,34 |
5,44 |
4,90 |
4,87 |
|
3
Metropolitana de Fortaleza |
3,67 |
3,36 |
3,91 |
3,26 |
3,26 |
2,87 |
3,32 |
3,58 |
|
4 Sertões
Cearenses |
3,03 |
2,70 |
2,41 |
2,57 |
2,30 |
2,67 |
2,56 |
2,27 |
|
5
Jaguaribe |
2,96 |
3,15 |
3,20 |
3,07 |
3,62 |
4,29 |
3,26 |
3,99 |
|
6 Centro
Sul Cearense |
3,10 |
2,63 |
3,16 |
3,18 |
3,13 |
3,33 |
3,17 |
3,02 |
|
7 Sul
Cearense |
4,82 |
6,00 |
3,30 |
3,78 |
3,25 |
3,62 |
5,24 |
2,94 |
|
|
Lavoura
permanente |
|||||||
|
Ceará |
4,49 |
4,73 |
4,84 |
4,65 |
5,00 |
5,14 |
4,93 |
5,09 |
|
1
Noroeste Cearense |
5,56 |
5,80 |
4,43 |
3,83 |
4,20 |
3,82 |
3,68 |
3,65 |
|
2 Norte
Cearense |
3,35 |
3,45 |
3,49 |
3,11 |
3,32 |
3,42 |
3,06 |
3,42 |
|
3
Metropolitana de Fortaleza |
4,05 |
3,73 |
3,75 |
3,82 |
4,51 |
4,21 |
3,94 |
3,89 |
|
4 Sertões
Cearenses |
3,71 |
4,01 |
4,41 |
4,24 |
4,59 |
4,66 |
3,79 |
4,22 |
|
5
Jaguaribe |
3,14 |
3,22 |
3,12 |
2,78 |
3,59 |
3,43 |
2,80 |
2,96 |
|
6 Centro
Sul Cearense |
1,32 |
1,23 |
1,31 |
1,24 |
1,28 |
1,25 |
1,18 |
1,13 |
|
7 Sul
Cearense |
3,11 |
2,57 |
1,94 |
2,17 |
2,20 |
2,24 |
3,06 |
2,69 |
|
|
Produção
de origem animal |
|||||||
|
Ceará |
2,02 |
1,99 |
2,03 |
2,03 |
2,07 |
2,10 |
2,06 |
2,07 |
|
1
Noroeste Cearense |
1,84 |
1,87 |
1,86 |
1,80 |
1,92 |
1,94 |
1,92 |
1,91 |
|
2 Norte
Cearense |
2,07 |
1,98 |
1,98 |
1,80 |
1,81 |
1,74 |
1,74 |
1,88 |
|
3
Metropolitana de
Fortaleza |
1,47 |
1,50 |
1,46 |
1,40 |
1,37 |
1,33 |
1,32 |
1,32 |
|
4 Sertões
Cearenses |
1,45 |
1,44 |
1,52 |
1,46 |
1,50 |
1,55 |
1,54 |
1,51 |
|
5
Jaguaribe |
1,65 |
1,40 |
1,47 |
1,32 |
1,39 |
1,43 |
1,28 |
1,35 |
|
6 Centro
Sul Cearense |
1,53 |
1,42 |
1,55 |
1,48 |
1,51 |
1,52 |
1,41 |
1,45 |
|
7 Sul
Cearense |
1,58 |
1,69 |
1,73 |
1,76 |
1,81 |
1,83 |
1,83 |
1,81 |
Fonte: elaboração própria, dados da
pesquisa.
Em Pernambuco, a mesorregião da Mata Pernambucana
apresenta-se menos diversificada quanto às lavouras. Já o Sertão Pernambucano
apresenta-se com estrutura produtiva mais diversificada (tabela 7). Essas duas
regiões são menos desenvolvidas no Estado, apresentando menor pib per capitas. Todavia, têm vocação agrícola, diferentemente de
mesorregiões como a Metropolitana do Recife ou o Agreste
Pernambucano, tradicionalmente voltadas para a produção industrial,
especialmente a têxtil, no caso do Agreste.
Tabela 7
Índice de
especialização por mesorregiões de Pernambuco
|
Mesorregiões |
2004 |
2005 |
2006 |
2007 |
2008 |
2009 |
2010 |
2011 |
|
|
Lavoura
temporária |
|||||||
|
Pernambuco |
2,60 |
2,69 |
2,45 |
2,69 |
3,01 |
2,61 |
2,06 |
2,08 |
|
1 Sertão Pernambucano |
5,14 |
4,55 |
4,29 |
4,87 |
4,61 |
5,07 |
5,39 |
5,17 |
|
2 São Francisco Pernambucano |
4,89 |
5,16 |
6,17 |
3,69 |
4,44 |
2,39 |
3,58 |
3,85 |
|
3 Agreste Pernambucano |
4,03 |
4,68 |
4,31 |
3,57 |
4,22 |
4,31 |
3,09 |
3,42 |
|
4 Mata Pernambucana |
1,10 |
1,09 |
1,05 |
1,05 |
1,06 |
1,06 |
1,07 |
1,04 |
|
5 Metropolitana de Recife |
1,20 |
1,23 |
1,49 |
1,41 |
1,37 |
1,14 |
1,07 |
1,06 |
|
|
Lavoura
permanente |
|||||||
|
Pernambuco |
3,66 |
3,20 |
3,20 |
3,24 |
3,95 |
3,22 |
2,88 |
3,33 |
|
1 Sertão Pernambucano |
4,70 |
4,77 |
5,04 |
4,75 |
3,22 |
2,44 |
2,38 |
2,89 |
|
2 São Francisco Pernambucano |
2,74 |
2,33 |
2,29 |
2,40 |
3,21 |
2,50 |
2,28 |
2,58 |
|
3 Agreste Pernambucano |
2,12 |
2,25 |
1,88 |
2,26 |
3,24 |
3,21 |
2,64 |
2,35 |
|
4 Mata Pernambucana |
1,91 |
1,84 |
1,83 |
2,07 |
2,51 |
2,29 |
1,73 |
1,66 |
|
5
Metropolitana de Recife |
2,24 |
1,99 |
1,56 |
1,50 |
1,65 |
1,57 |
4,64 |
2,58 |
|
|
Produção
de origem animal |
|||||||
|
Pernambuco |
2,02 |
1,98 |
1,93 |
1,97 |
1,88 |
1,84 |
1,78 |
1,81 |
|
1 Sertão
Pernambucano |
1,70 |
1,54 |
1,47 |
1,49 |
1,39 |
1,34 |
1,32 |
1,34 |
|
2 São
Francisco Pernambucano |
1,64 |
1,61 |
1,58 |
1,67 |
1,62 |
1,49 |
1,52 |
1,55 |
|
3 Agreste
Pernambucano |
1,66 |
1,66 |
1,64 |
1,62 |
1,63 |
1,61 |
1,59 |
1,69 |
|
4 Mata
Pernambucana |
1,56 |
1,56 |
1,68 |
1,53 |
1,58 |
1,63 |
1,58 |
1,69 |
|
5
Metropolitana de Recife |
1,45 |
1,60 |
1,56 |
1,40 |
1,61 |
1,98 |
2,11 |
2,41 |
Fonte: elaboração própria, dados da
pesquisa.
Conclusões
Os resultados
demonstraram que a agropecuária no nordeste apresenta um perfil produtivo
diferente para cada setor. De uma maneira geral, os produtos pertencentes à
lavoura temporária apresentam estrutura produtiva mais diversificada, enquanto
os produtos da lavoura permanente encontram-se mais concentrados.
Quanto aos produtos de origem animal (pecuária), a
exemplo das grandes regiões, nordeste e Brasil, o setor produtivo apresenta-se
muito especializado em poucos produtos. Isso reflete um baixo dinamismo da
agropecuária, haja vista que aumenta a dependência econômica da região na
produção e venda de produtos específicos. Nesses casos, os riscos dessas
atividades econômicas elevam-se consideravelmente. Uma crise no setor, uma
praga, mudanças climáticas, enfim os riscos de mercado e produção tornam-se
muito mais preocupantes. A especialização só seria benéfica para a região em
caso de destacados ganhos de produtividade, advindos de vantagens competitivas,
geradas com introdução de inovação tecnológica, como acontece no Vale do São
Francisco, situado entre Pernambuco e Bahia. Nesse caso, justificar-se-ia pelos
ganhos com emprego e renda para a região.
Um resultado chamou atenção, na análise comparativa
entre os Estados, Pernambuco apresenta-se sempre com uma estrutura produtiva
mais concentrada relativamente aos demais estados, pelo menos nos setores de
produção de origem animal e quanto às lavouras permanentes. No caso das
lavouras permanentes, muito provavelmente esse resultado está ligado ao Arranjo
Produtivo Local no Vale do São Francisco, grande reduto de produção e
exportação de manga e uva no Brasil, além de outras frutas em menor escala.
O Estado da Bahia, não apresenta os melhores
resultados, como era de se esperar, haja vista que os dados do último Censo
Agropecuário demonstram que esse Estado apresenta as melhores condições
produtivas, com maior número de estabelecimentos rurais, mais hectares de
terras utilizadas com lavouras, maior efetivo de bovinos, maior número de
pessoal ocupado no campo, maior número de tratores. Enfim, o Estado reúne um
quantitativo maior de fatores de produção (tratores como proxy de capital, pessoal ocupado como
proxy de trabalho e
terras utilizadas com lavoura/pecuária como proxy da terra) para apresentar a
maior diversidade produtiva.
Contudo, há que se considerar que o último Censo
Agropecuário data de 2006, fontes das informações sobre os fatores de produção,
enquanto os dados utilizados da Produção Agrícola Municipal e Produção Pecuária
Municipal abrangeram um período de 2004 a 2011. Certamente, a partir do próximo
Censo Agropecuário, poder-se-á verificar as mudanças ocorridas quanto a esses
fatores não só na Bahia, como nas outras regiões brasileiras. Essa é uma grande
limitação ao se trabalhar com dados secundários, a lacuna gerada pela defasagem
na geração dos dados pelos institutos competentes.
Outro resultado que merece destaque, verificado nos
Censos Agropecuários, é que ainda que possa haver variação na trajetória de
crescimento das outras variáveis (estabelecimentos, áreas, etc.), no caso de
tratores a trajetória é sempre ascendente. Obviamente, nos últimos anos, esse
resultado pode ter mudando, mas a depender da facilidade de financiamento e
linhas de crédito específicas para o setor, provavelmente esse padrão permanece
até os dias atuais. Isso mostra o grau de modernização e intensificação de
capital crescente no campo, para todas as regiões consideradas.
Ao mesmo tempo, o número de pessoal
ocupado mostra declínio ao longo do tempo. O aumento no número de tratores,
seguido da redução do pessoal ocupado, traz logo a dedução de que o processo de
automação no campo estaria desempregando os agricultores. Todavia, as possíveis
causas da redução no pessoal ocupado perpassam também por outras questões, tais
como o aumento das atividades não agrícolas remuneradas no campo (turismo
rural, artesanato), a maior cobertura dos programas de transferência de renda[2] e previdência rural, e o próprio êxodo rural provocado por uma mudança nas
preferências dos indivíduos, cada vez mais encantados com a vida urbana.
Por fim, intenta-se dar continuidade ao trabalho,
acrescentando a análise das produtividades, tão logo estejam disponíveis todos
os dados necessários para a pesquisa. Também se faz mister uma análise mais
minuciosa sobre as especificidades de cada mesorregião baiana, cearense e
pernambucana, no intuito de buscar maiores explicações para os padrões
diferenciados na estrutura produtiva da agropecuária de cada região. Nesse
ínterim, entender um pouco sobre as políticas públicas direcionadas ao setor
por cada estado constitui uma meta para próximos estudos.
Conclui-se que cada vez mais necessárias políticas
específicas voltadas para os municípios e/ou estados que não receberam os
mesmos incentivos, estando em áreas com condições edafo-climáticas menos
favoráveis ou não, no intuito de amenizar o processo acelerado de migração
rural-urbana, que traz consequências não só sobre o processo de segurança
alimentar, mas acaba por contribuir para o crescimento não planejado das
cidades, trazendo como consequência os problemas sociais existentes nas grandes
cidades e que já aparecem também nas cidades menores.
Referências
Alcântara-Filho,
José Luiz, Paulo Roberto Scalco e Adriano Provezano Gomes, (2008),
“Transformações na agricultura brasileira: uma abordagem espacial dos Censos
Agropecuários de 1996 e 2006”, em XLVI Congresso da Sociedade Brasileira de
Economia e Sociologia Rural, 20-23 de julho, Rio Branco.
Ferreira,
Monaliza de Oliveira, Lúcia Maria Ramos e Antônio Lisboa Teles da Rosa,
(2006a), “Crescimento da agropecuária cearense: comparação entre as
produtividades parciais e totais”, Revista de Economia e Sociologia
Rural, 44 (3),
Sociedade Brasileira de Economia e Sociologia Rural, Rio de Janeiro, pp.
503-524.
Ferreira,
Monaliza de Oliveira, Lúcia Maria Ramos e Antônio Lisboa Teles da Rosa,
Patrícia Verônica Pinheiro Sales Lima, Lucas Antônio de Souza Leite (2006b),
“Especialização produtiva e mudança estrutural da agropecuária cearense”,
Teoria e Evidência Econômica,
14 (26), Universidade de Passo Fundo, Passo Fundo, pp. 91-111.
Ferreira,
Monaliza de Oliveira e Yony de Sá Barreto-Sampaio (2009), “Estudos para a
implantação de mercados futuros de manga e uva no Brasil como solução para
alavancar as exportações de frutas tropicais”, Revista
Desenbahia, núm. 11,
Agência de Fomento do Estado da Bahia, Salvador, pp. 67-98.
Garcia-Gasques,
José e Carlos Monteiro-Villa Verde (1990), “Crescimento da agricultura
brasileira e política agrícola nos anos oitenta”, texto para discussão núm.
204, Instituto de Pesquisa Econômica
Aplicada, Brasília, pp. 1-26.
Garcia-Gasques
José e Junia Cristina Peres-Rodrigues da Conceição (1997), “Crescimento e
produtividade da agricultura brasileira”, Texto para discussão núm. 502,
Instituto de Pesquisa Econômica Aplicada, Brasília, pp. 7-21.
Garcia-Gasques,
José e Junia Cristina Peres-Rodrigues da Conceição (2000), “Transformações
estruturais da agricultura e produtividade total dos fatores”,
Texto para discussão
núm. 768, Instituto de Pesquisa Econômica Aplicada, Brasília, pp. 5-59.
Garcia-Gasques,
José e Junia Cristina Peres-Rodrigues da Conceição (2000a), “Transformações
estruturais da agricultura e produtividade total dos fatores”, Texto para
discussão núm. 768, Instituto de Pesquisa Econômica Aplicada, v.1,Brasília, pp.
7-47.
Garcia-Gasques,
José e Junia Cristina Peres-Rodrigues da Conceição (2000b), “Preços agrícolas”,
Produtividade total dos fatores na agricultura, núm. 165, São Paulo, p. 3-7.
Garcia-Gasques,
José, Brancolina Ferreira e Júnia Cristina Peres-Rodrigues da Conceição (orgs.)
(2001), Transformações da agricultura e políticas públicas, Instituto de Pesquisa Econômica
Aplicada, Brasília.
Gonçalves-Silva,
Carlos Alberto (2009), “Condicionantes da produtividade total dos fatores no
crescimento da agropecuária brasileira”, Trabalho apresentado em 47o
Congresso da Sociedade Brasileira de Economia e Sociologia Rural, 26-30 de
julho, Porto Alegre.
ibge-Censos Agropecuários (Instituto Brasileiro de Geografia e Estatística-Censos
Agropecuários) (1970,
1975, 1980, 1985, 1995, 1996 e 2006), Coordenação do Censo Agropecuário, Rio de
Janeiro.
ibge-pam-ppm
(Instituto Brasileiro de Geografia e Estatística-Pesquisa Agrícola
Municipal-Pesquisa Pecuária Municipal) (2005, 2006, 2007, 2008, 2009 e 2010), Sistema de Informações sidra, www.sidra.ibge.gov.br, Diversos acessos em setembro e outubro de 2010.
Magno-Mendes,
Sérgio, Erly Cardoso Teixeira e Márcio Antônio Salvato (2009), “Investimentos
em infra-estrutura e produtividade total dos fatores na agricultura brasileira:
1985-2004”, Revista Brasileira de Economia, 63 (2), Fundação Getulio Vargas, Rio
de Janeiro, pp. 91-102.
Padrão, Glaucia
de Almeida, Marília Fernandes Maciel Gomes e João Carlos Garcia (2012),
“Determinantes estruturais do crescimento da produção brasileira de grãos por
estados da federação: 1989/90/91 e 2006/07/08”, Revista
Econômica do Nordeste,
43 (1), Banco do Nordeste-etene,
Fortaleza, pp. 52-66.
Presotto-Nunes,
Sidemar (2008), “Censo agropecuário demonstra aumento das escalas de produção e
redução das ocupações agrícolas”, Trabalho apresentado em 3º Encontro da Rede
de Estudos Rurais, 9-12 de setembro de 2008, Campina Grande.
Rosa dos Santos,
Gesmar e José Eustáquio Ribeiro-Filho Vieira (2012), “Heterogeneidade produtiva
na agropecuária brasileira: elementos estruturais e dinâmicos da trajetória
produtiva recente”, Texto para discussão núm. 1740, Instituto de Pesquisa Econômica
Aplicada, Rio de Janeiro, pp.
7-28.
Vieira-Filho,
José Eustáquio e José Maria Mendes Jardim da Silveira (2012), “Mudança
tecnológica na agricultura brasileira: uma revisão crítica da literatura e o
papel das economias de aprendizado”, Revista de Economia e Sociologia
Rural, 50 (4),
Sociedade Brasileira de Economia e Sociologia Rural, Brasília, pp. 721-742.
Recibido:
5 de abril de 2011.
Reenviado:
4 de abril de 2013.
Aceptado:
23 de septiembre de
2013.
Monaliza de Oliveira Ferreira. Brasileira. Doutora em economia pela
Universidade Federal de Pernambuco, Brasil. Atualmente é professora e
coordenadora do Programa de Pós-Graduação em Economia da Universidade Federal
de Pernambuco (ppgecon-Ufpe). É
líder do Grupo de Pesquisa em Economia Aplicada e Desenvolvimento Sustentável (gpead). Entre suas últimas publicações
destacam-se: “Os desafios da harmonização entre
crescimento económico e a preservação do meio ambiente no agreste
pernambucano”, Estudos do cepe,
vol. 1, Unisc, Santa Cruz do Sul, pp. 108-132 (2012); “A questão ambiental no
Pólo de Confecções de Caruaru: um primeiro ensaio à luz dos instrumentos
económicos de proteção ambiental”, Revista Desenbahia, vol. 9, Agência de Fomento do Estado
da Bahia, Salvador, pp.137-162 (2012); Produção de óleos vegetais em
Pernambuco para conversão em biodiesel,
Editora Universitária-Ufpe, Recife, 241 pp. (2011).
Kelly Samá Lopes de Vasconcelos. Brasileira. Estudante do Programa de
Pós-Graduação em Economia (pgecon/Ufpe). Membro do Grupo de Pesquisa em
Economia Aplicada e Desenvolvimento Sustentável (gpead). Sua última publicação intitula-se: “Mecanização da
agricultura: demanda por tratores de rodas e máquinas agrícolas nos estados da
região nordeste”, Revista em Agronegócio e Meio
Ambiente, vol. 6,
Unicesumar, Maringá, pp. 207-222 (2013).