Determinantes de
la proveeduría nacional a la industria maquiladora: el caso de Ciudad Juárez
Determinants of
national supply to the maquiladora industry: the case of Ciudad Juárez
Raúl Ponce-Rodríguez
Ramsés Jiménez-Castañeda*
Abstract
This
article presents a theoretical model that explains the lack of vertical
integration of the maquiladora industry to the local industry in Ciudad Juarez.
In our theoretical model the demand of factors of production depends on the
technology of production, the monetary value of the marginal product and the
marginal costs of factors of production. In this paper we emphasize the role of
the exchange rate in determining the extent of the vertical integration of the
maquiladora industry. The theoretical analysis suggests that if the cross
marginal productivity between domestic and imported inputs is negative, then
depreciations of the exchange rate can induce a lower vertical integration of
the industry with domestic suppliers. Moreover, in this article we present
evidence of this and other theoretical propositions of our theoretical model.
Keywords: behavior of the firm, economic
integration, industrial organization.
Resumen
Este artículo presenta un modelo teórico que explica la falta de integración vertical de la industria maquiladora con la industria local en Ciudad Juárez. En nuestro modelo teórico la demanda derivada de insumos depende de la tecnología de producción, el valor monetario del producto marginal, y los costos marginales de los factores de producción. El análisis teórico sugiere que si la productividad marginal cruzada entre los insumos importados y domésticos es negativa, las depreciaciones del tipo de cambio pueden inducir una menor integración vertical. Además, en este artículo presentamos evidencia de algunas de las propuestas de nuestro modelo teórico.
Palabras clave: comportamiento de la firma, integración económica, organización industrial.
* Universidad Autónoma de Ciudad Juárez, México. Correos-e: rponce@uacj.mx, rponcer@yahoo.com y rjimenez@uacj.mx.
Introducción
Históricamente se ha observado una fuerte demanda de insumos por parte de la industria maquiladora. Sin embargo, la participación de la industria nacional (in) en la provisión de materias primas para la maquila es sumamente baja. Los hechos estilizados muestran una escasa integración interindustrial desde el ámbito nacional, regional y local, ya que la participación de la in en el mercado de insumos en el periodo entre 1990 y 2000 fue en promedio anual de 2.51, 1.51 y 1.79%, respectivamente.[1] Pareciera que la ventaja en la localización geográfica de los estados de la frontera norte de México no ha fincado resultados satisfactorios para una mayor integración interindustrial.[2] Por ello, la pregunta de investigación que se aborda en este artículo es: ¿en qué medida la demanda de insumos domésticos por la industria maquiladora explica la ausencia de integración vertical?
En este documento desarrollamos un modelo teórico y un modelo empírico que nos permitan entender la integración interindustrial de la industria mexicana localizada en Ciudad Juárez con la maquiladora. Teóricamente contribuimos al análisis de la integración interindustrial México-Estados Unidos (EU) al presentar un modelo de demanda de insumos nacionales y extranjeros de la maquiladora. En nuestro modelo la demanda derivada de insumos depende de la tecnología de producción, el valor monetario del producto marginal y los costos marginales de los factores de producción.
El análisis teórico permite
establecer una serie de hipótesis que pueden ser verificadas empíricamente. En
particular, nuestro modelo teórico sugiere que los diferenciales del costo
marginal de los insumos domésticos en relación con los factores de producción
del extranjero pueden ser aproximados a través de variaciones del tipo de
cambio real. Mientras que la intuición sugiere que depreciaciones del tipo de
cambio inducen una sustitución de insumos importados por domésticos, nuestro
modelo teórico caracteriza condiciones en las cuales una depreciación del peso
puede reducir la integración vertical de la maquiladora con la industria
nacional.
Los hechos estilizados sugieren que la industria nacional no se ha integrado con la maquiladora a pesar de masivas depreciaciones del tipo de cambio real que reducen el costo marginal de los insumos nacionales. Nuestro modelo teórico puede explicar este fenómeno.
En busca de profundizar en el análisis, se genera un modelo empírico dinámico donde se postula la participación del tipo de cambio real como una proxy del diferencial de precios en la comercialización de insumos, las expectativas de los empresarios nacionales ante la reinversión productiva vía tasas de interés nacional y extranjera, el mercado final de bienes industriales (medido a través del índice de producción industrial en Estados Unidos) y la concentración industrial de este sector en la región.[3] El análisis empírico soporta la hipótesis teórica de que depreciaciones del tipo de cambio afectan negativamente la integración vertical. La tasa de interés en México y Estados Unidos reduce e incrementa, respectivamente, la integración vertical. Las variaciones del índice de producción industrial en EU y el número de establecimientos maquiladores están negativamente correlacionados con la integración vertical, aunque estos efectos no son significativos. Finalmente, utilizamos el índice de integración rezagado que resulta ser positivo y significativo, lo que sugiere que bajos niveles de integración vertical en el pasado están asociados con bajos niveles de integración vertical en el futuro. Este resultado se puede explicar por la existencia de contratos de largo plazo y relaciones monopolísticas bilaterales que pueden contribuir a establecer barreras de entrada a nuevos proveedores, lo que a su vez puede inducir una baja integración vertical de la industria maquiladora con la industria nacional.
Este artículo está organizado de la siguiente manera: la primera parte contiene la revisión de la literatura; en la segunda presentamos nuestro modelo teórico de la demanda de insumos de la industria maquiladora de exportación e integración vertical; el planteamiento de las hipótesis, la especificación econométrica, la fuente de los datos y los resultados del modelo econométrico se incluyen en el tercer apartado; cerramos este trabajo con las conclusiones.
1. Revisión de la literatura
Recientemente se han hecho estudios empíricos, teóricos y descriptivos que tratan de explicar la falta de participación en los mercados de insumos industriales que la ime requiere. Por ejemplo, Jiménez (2005) desarrolló un modelo regional (para esta industria en el estado de Chihuahua) donde demuestra que la participación interindustrial de manera vertical de la ime y la in es escasa. El modelo utilizado en este trabajo fue de equilibrio general para el mercado de insumos. Se postula una función de producción eficiente para la maquila a partir de los precios relativos sugeridos por el tipo de cambio como uno de los determinantes de la demanda de insumos.
Por el lado de la oferta, Jiménez (2005) asume la existencia de restricciones en la capacidad de la industria nacional para proveer insumos, a consecuencia del costo financiero inducido por la tasa de interés como fuente de financiamiento para la reinversión. Ya que incrementos en los niveles de producción de insumos (a una mayor demanda de la ime) implica considerar invariablemente el financiamiento por razones estructurales sobre el tamaño de las empresas domésticas. Además, otros aspectos considerados por Jiménez (2005) incluyen las restricciones a la oferta (como resultado de relaciones monopólicas bilaterales de contratos previos de comercialización en la ime. Finalmente, Jiménez (2005) encuentra evidencia de un efecto renta en la participación de estos mercados que se presenta históricamente en los ámbitos nacional y regional.[4]
Sin embargo, otros documentos (Jiménez, 2006a y b) muestran evidencia acerca de una mayor participación en el mercado de insumos en la época de la recesión maquiladora (finales del 2000) y hasta el año 2004 para Ciudad Juárez. Una vez pasada la recesión, la tendencia en la provisión de insumos se ha vuelto a ubicar en los niveles presentados anteriores a la etapa de la recesión maquiladora.
Recientemente, la composición de las empresas nacionales como proveedoras de insumos y su integración vertical con la ime se han estudiado desde varios enfoques. Gómez (2004) argumenta que esta integración con la maquila es mínima, identificando tres posibles escenarios para motivar una mayor participación interindustrial, sugiere que la proveeduría nacional se enfoque principalmente donde la demanda de insumos sea especializada en relación con todas las ramas que la maquila maneja.
Asimismo, que se cambie la composición del consumo de insumos para aquellas maquilas no estadounidenses,[5] o que se incremente la participación en cualquiera de los mercados de manufactura no necesariamente a la maquila. Sin embargo, a su vez aclara que cualquier vía es complicada porque la naturaleza propia de la maquila es sobre todo mantener costos salariales bajos consumiendo insumos (de procedencia doméstica) en las cantidades imprescindibles para su operación.
En su estudio, Puyana y Romero (2005) postulan un modelo teórico de comercio internacional, donde sugieren que los programas de internación temporal para las exportaciones (Pitex) diseñados por los gobiernos de México y EU inducen una reducción de la integración vertical interindustrial. Estos autores desarrollan un modelo gráfico a partir de la teoría estándar Hecsher-Ohlin. Su análisis sugiere que la principal característica para la no integración está en función de la tecnología en el proceso de fragmentación[6] de la producción. El modelo se basa en los precios de los factores, donde los resultados sugieren que el beneficio neto por el uso de la tecnología fragmentada (en el país desarrollado) cuando no es menos costosa, reduce los costos monetarios respecto a la fragmentación en los otros factores en el país menos desarrollado. Es decir, los precios a los factores de un país a otro pueden no diferenciarse a partir de los acuerdos arancelarios entre ambos países, ya que México exonera impuestos de importación de insumos en los procesos de la ime, y EU aplica la misma práctica a los bienes importados que proceden de la ime, con ello se crea mayor productividad para la empresa extranjera en detrimento de un menor valor agregado de la in.
Otro aspecto en relación con la tecnología que induce una baja integración interindustrial lo plantean Guzmán y Toledo (2005), quienes sostienen que las empresas mexicanas (99% de ellas son Pymes) carecen de capacidad tecnológica, lo que implica disminuir las economías de escala y calidad de los productos. Estas características confirman procesos de competitividad en el ámbito global, donde la ime está inmersa.
Hernández y Rabelo (2005) sugieren que a pesar de la operación ineficiente de las empresas nacionales (aspectos considerados por los autores anteriores), es posible estimular a esta industria y su participación en los mercados de insumos, esto a partir de redes productivas mediante la creación de economías de aglomeración y la inducción al aprendizaje tecnológico y empresarial. Se sugiere que el esquema anterior se conduzca por una política industrial regional efectiva que incentive la integración vertical con la ime (Carrillo y Gomis, 2007). Los autores también sugieren que tanto las empresas privadas como públicas deben converger en los proyectos para el buen desempeño de dicha política regional.
En este contexto, Plasencia (2005) encuentra evidencia de que las grandes manufactureras en Tijuana, y específicamente la Toyota, empiezan a crear amplios vínculos con las empresas locales de suministros de insumos. Aunque el porcentaje de participación todavía es reducido (5%), existe el interés por parte de esta transnacional y empresas locales en el aumento de las relaciones industriales. El artículo señala que se han podido encontrar características de aprendizaje tecnológico en las empresas proveedoras, lo que aprovecha Toyota fortaleciendo a las pequeñas y medianas empresas de la región. Sin embargo, para lograr lo anterior como sugieren Barajas et al., (2007) es necesario desarrollar capacidades productivas tecnológicas y organizacionales más allá de las simples administrativas, y además se incorporen procesos de aprendizaje técnicos en estas empresas.
Un factor común en la mayoría de la literatura que revisamos es la falta de argumentos formales. En el siguiente apartado se presenta un análisis formalizado de la demanda de insumos de la maquiladora que nos permite entender la integración interindustrial. Además, este modelo es la base teórica de nuestro análisis empírico.
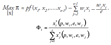
2. Demanda de insumos de la industria maquiladora de exportación e integración vertical
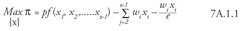
Se asume que una empresa maquiladora busca integrarse verticalmente con una empresa proveedora de insumos. La empresa proveedora puede ser doméstica o de procedencia extranjera. Se postula que la empresa doméstica puede proveer el insumo xd con calidad sd , mientras que la proveedora extranjera oferta el insumo xj con calidad sj . Si sd < sj , la calidad del insumo extranjero es mayor que la del doméstico.[7] Se representa un vector Xg como el conjunto que contiene a las empresas proveedoras de insumos, donde Xg = {xg gR, "g = {d, j}, asi xd , xj Xg}. La empresa maquiladora posee una función de producción y = f (xg1......xgn), donde y es la producción, la cual es determinada por los insumos xg1 a xgn. Se asume que la matriz Hessiana de f (•), es decir Hij , se define negativa.
La maquila demanda un insumo
de forma que la empresa busca maximizar su beneficio sobre el espacio de
insumos diferenciados. Una mayor calidad de los insumos puede ser más rentable.
En general, el presupuesto de la empresa y los precios determinarán la cantidad
demandada de factores diferenciados por la calidad. La función de ingresos de
la maquila se denota Ing = p* f (xg1......xgn),
donde p es el precio del bien final producido por la maquiladora. Para
facilitar el análisis matemático consideramos n = 2, y el caso general
se incluye en el apéndice al final de este artículo.
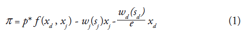
Los costos de producción están dados por C = wj (sj)xj + xd , donde C es el costo de producción o presupuesto de una empresa para producir. El precio del insumo es wg (sg ) y depende de la calidad del mismo sg"g = {d,j }, e es el tipo de cambio, es decir, representa la moneda doméstica que un dólar puede comprar. Como la maquila exporta su producción, sus ingresos son en moneda extranjera (dólares). Si la maquila se integra verticalmente con una proveedora doméstica el costo del insumo se paga en moneda doméstica (es decir, el costo wd (sd )xd es en pesos), mientras que {wd (sd )/e}xd representa el costo equivalente del insumo nacional en moneda extranjera. Si la maquila comercia con la firma extranjera, entonces el importe pagado por sus insumos (wj (sj )xj ) es en moneda extranjera.
El beneficio neto de la empresa cuando n = 2 está dado por:
![]()
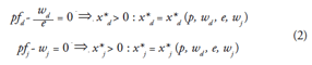
La demanda positiva de los insumos extranjeros y domésticos requiere que se mantengan las siguientes condiciones de primer orden:

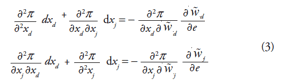
Para desarrollar un análisis de estática comparativa diferenciamos totalmente el sistema de ecuaciones en (2). Así se obtiene:

Donde d =wd /e y j = wj . El sistema en (3) es equivalente a:

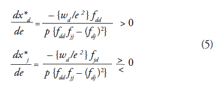
Es fácil verificar que variaciones del tipo de cambio afectan la demanda de los insumos domésticos y extranjeros como se muestra en (5):

Dado que la matriz Hessiana es negativa definido el término {fdd fjj – (fdj)2}> 0. En consecuencia rendimientos marginales en xd implican dx*d / de > 0. Es decir, depreciaciones de la moneda doméstica incrementan la demanda de la maquila por los insumos nacionales. En el caso de las variaciones de la demanda del insumo extranjero por cambios en e, es obvio que signo(fjd) ⇒ signo (dx*j / de). Por tanto, reducciones de la productividad marginal del insumo extranjero por cambios marginales del insumo local resultan en signo fjd ≤ 0 ⇒ dx*j / de ≥ 0. En este caso, una depreciación del tipo de cambio incrementa la demanda de insumos extranjeros.
La explicación de este resultado es simple: en la gráfica i se muestran las iso-quantas f 0
y f 1 y las curvas de iso-costos C (e0)
y C
(e1), cuya pendiente está determinada por la relación de
precios relativos ![]()
Gráfica i
Efectos de una depreciación del tipo de cambio en la demanda de
insumos domésticos y extranjeros

Fuente: Elaboración propia.
Así, un incremento del tipo de cambio desplaza la curva de iso-costo de C (e0) a C (e1), lo que induce un efecto sustitución y un efecto similar al efecto renta de la teoría de la elección del consumidor, al que vamos a llamar un efecto presupuesto. Un incremento del tipo de cambio induce un efecto sustitución ya que demandar insumos domésticos en relación con insumos del extranjero es relativamente menos costoso. Además, un incremento del tipo de cambio induce un efecto presupuesto positivo, ya que el mismo presupuesto de la firma le permite adquirir una mayor cantidad de insumos, lo que puede incrementar la demanda de los dos insumos de la firma. El resultado final de la interacción de los efectos sustitución y presupuesto se muestra en la gráfica i, en la que una depreciación del tipo de cambio incrementa la demanda de ambos insumos.[8]
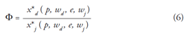
Finalmente, la demanda relativa de insumos nacionales en relación con los extranjeros (la cual es nuestro índice de integración vertical) se define como

La
condición (6) nos permite analizar los efectos de la demanda de insumos de la
maquila sobre la razón de insumos domésticos-extranjeros consumidos por la
empresa. Esta razón también corresponde a un índice de integración vertical.
Si, Fg0, la proporción de los insumos de procedencia extranjera dominan la demanda
de la maquila, lo cual significa que la integración de esta industria con la
industria nacional es muy baja o nula. Si Fg∞, la maquila se
integra sobre todo con la industria doméstica. En este caso, la maquila
demandaría sus insumos primordialmente del mercado doméstico.
Los datos estilizados en el caso de México indican una importante depreciación en términos reales de la moneda doméstica en relación con el dólar. En particular, la máxima depreciación real del tipo de cambio en el periodo de enero de 1999 a noviembre de 2006 fue aproximadamente de 45%. Por ello, es de particular interés analizar el efecto de las variaciones del tipo de cambio en la demanda relativa de insumos por parte de la maquila.
Para llevar a cabo este análisis se obtiene d
/de,
como se muestra en (7):

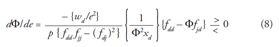
Utilizando las condiciones de optimalidad (5) en (7) obtenemos:
![]()
Como se mencionó, la propiedad negativa definida del Hessiano de la tecnología implica p{fdd fjj – ( fdj )2 }≥0, wd /e2 ∈ ℜ+, (F2xd )-1∈ℜ+. En consecuencia, {fdd – F fjd }≥ 0 ⇒ d F /de ≥< 0. La intuición sugiere que las depreciaciones en el tipo de cambio favorecen una mayor integración de la maquiladora con la industria nacional, ya que el costo en dólares de los factores domésticos se reduce con un incremento en e. Este resultado se obtiene cuando {fdd – F fjd }≤0 ⇒ d F /de≥0.
Sin embargo la condición (8) también implica que, contrario a lo que la intuición sugiere, depreciaciones de la moneda extranjera (incrementos en e) no necesariamente inducen a la maquiladora a una mayor integración interindustrial con la industria nacional. Es razonable esperar que la productividad marginal del insumo extranjero es menor cuando la empresa incrementa la demanda del insumo nacional. En este caso, las demandas de ambos insumos se incrementa si {fdd – F fjd }≥0 ⇒ d F /de ≤0. Por tanto, depreciaciones del tipo de cambio reducen la integración de la industria maquiladora con la industria nacional.
Otro tema de interés es el efecto de variaciones en la producción de la maquiladora sobre la integración vertical. La siguiente propuesta muestra formalmente la relación entre la producción y la integración vertical.
Propuesta: el efecto sobre la integración vertical de incrementos en la producción de la maquiladora es ambiguo, es decir, ∂ F /∂y ≥<0.
Prueba: primero definimos h*d =
h*d (y, wd , e, wj ) ^ h*j = x*j(y, wd , e, wj ): h*d , h*j ∈arg min {wj(sj)xj + e x s.t: y = f (xd , xj )}
satisfaciendo las condiciones fd / fj = wje /wd .
Mientras que x*g = h*g (p, wd , e, wj )∈
argmax {pf (xd , xj ) – wj (sj ) xj – Por dualidad, x*g = h*g (y, wd , e, wj )∀g
= {d, j} si y = f (x*d , x*j ). Por tanto, ∂x*g / ∂y = ∂h*g / ∂y∀g = {dj}. De nuestra definición del índice de integración
![]()
![]()
= es fácil verificar que
3. El modelo econométrico
Se postula un modelo econométrico que busca poner a prueba
las hipótesis del modelo teórico acerca de la integración interindustrial en el
de caso de la industria local, a partir de la provisión de materias primas,
envases y empaques como insumos requerido por la maquila. La forma funcional
del modelo es lineal y las variables son las tasas de crecimiento anual.[9]
La variable dependiente es el índice de integración interindustrial (F),
el modelo incluye en su parte determinística el tipo de cambio real (e),
el índice de producción industrial de Estados Unidos (IPI), la tasa de
interés real domestica (rd) y de Estados Unidos (rUSA),
el índice de concentración industrial regional (IC),[10]
y una variable rezagada del índice de integración interindustrial (
-1).
A continuación se muestra la especificación:
Ft = α + βet + μIPIt + trt + ψrusat + δICt + γ Ft-1 + εt (9)
El coeficiente α es el intercepto habitual de la función de regresión. El coeficiente β es la tasa de cambio del índice de integración respecto a las variaciones del tipo de cambio real. Nuestro modelo teórico sugiere un signo ambiguo para el tipo de cambio. Si el regresor β es positivo, depreciaciones del tipo de cambio reflejan que el costo unitario de los insumos provistos por la industria local se reduce respecto al costo unitario de los insumos de la industria extranjera. El diferencial de costos inducidos por la depreciación del tipo de cambio, causa un efecto sustitución que induce una mayor demanda de insumos de la maquiladora, incrementando así la integración vertical. En contraparte, si el signo del regresor β es negativo, entonces depreciaciones del tipo de cambio inducen incrementos en la demanda de insumos extranjeros que resultan en una menor integración de la maquila con la industria nacional.
El signo esperado entre las variaciones del índice de producción industrial estadounidense μ y el índice de integración interindustrial es ambiguo. El nivel de integración a diferentes niveles de producción depende de la tecnología, en particular de las elasticidades insumo-producto. Por ejemplo, una combinación de una elevada (baja) elasticidad insumo extranjero-producto (insumo nacional-producto) induce a la maquila a integrarse en menor medida con la industria nacional a mayores niveles de producción de la industria maquiladora. En última instancia, el efecto del nivel de producción sobre la integración es una pregunta empírica que se busca responder en este artículo.
La tasa de interés en México (r) se espera que afecte negativamente al comercio entre la industria nacional y la industria maquiladora. Jiménez (2005: 20-23) sugiere que el costo financiero del crédito puede limitar la capacidad de producción de empresas domésticas.[11] Así, el costo de financiamiento reduce las posibilidades de integración de la industria nacional con la maquila. De forma similar, incrementos en la tasa de interés en Estados Unidos (rusa) puede limitar la capacidad de oferta de empresas extranjeras hacia la maquila, por lo que la integración interindustrial se incrementa.
El regresor δ mide el efecto marginal de una mayor concentración de establecimientos maquiladores sobre la integración vertical, y en general el signo de δ es ambiguo. Por una parte, la llegada de nuevas empresas maquiladoras (o mayor concentración de establecimientos de maquila) puede representar un incremento en la producción y demanda de insumos de esta industria.
Dado que variaciones de la producción pueden llevar a aumentos (reducciones) de la integración vertical, el signo de δ es ambiguo. Por otra parte, una mayor concentración de establecimientos maquiladores puede reflejar una mayor integración vertical de la industria maquiladora con empresas extranjeras. Es decir, oferentes de insumos extranjeros pueden localizarse en la entidad para minimizar sus costos de entrega y coordinación con los demandantes de su producto. Esto induce una menor integración de la maquiladora con la industria nacional.
El índice de integración vertical rezagado en un periodo (F t-1) tiene por objetivo medir aspectos dinámicos que afectan la integración vertical. Por ejemplo, la experiencia previa en la comercialización de insumos (a través de convenios y/o contratos previamente establecidos) puede limitar la capacidad de la industria nacional de integrarse con la maquila. Se asume que dichos contratos de mercados de factores hacia la ime sugieren obligaciones de largo plazo. Por lo que se espera que el regresor γ sea positivo.
3.1. Método: criterios y selección de la muestra
Se seleccionó el periodo 1999-2006 porque la información municipal sobre la maquiladora, y en específico de los insumos nacionales (es decir, la información en el ámbito municipal sobre las materias primas, envases y empaques de procedencia nacional para Ciudad Juárez), sólo es posible obtenerla para los años referidos a partir de 1999. Segundo, después de 2006 no hay información disponible de la industria maquiladora para el municipio de ciudad Juárez.
Por otro lado, en cuanto a recopilación de los datos, se obtuvo vía internet de las fuentes del inegi, Banxico, bls-usa, cies-Chih., entre otras. Se empleó el software Excel para el tratamiento en la conversión de datos e indicadores. Así es como damos paso a la integración de la información que a continuación se especifica por medio de la sección de datos.
3.2. Datos
El índice de integración
vertical entre la industria nacional y la maquiladora se define como la
relación de factores demandados por la maquiladora. En particular, en este
trabajo se utiliza información de materias primas, envases y empaques de
procedencia doméstica sobre el consumo total de insumos en Ciudad Juárez.[12] Cabe señalar que no contamos con el indicador
real de los precios de los insumos locales y extranjeros. Sin embargo es
posible medir variaciones en los precios relativos de los insumos domésticos y
extranjeros a través de depreciaciones del tipo de cambio real. Por lo anterior
se utiliza la tasa de crecimiento del tipo de cambio real deflactado por el
índice de precios al productor de las manufacturas para México en relación
relativa con el índice de precios al productor manufacturero de EU con base en
el año 2000. Asimismo se construye la tasa de crecimiento anual del índice de
producción industrial para Estados Unidos (IPI ) con base en 2000.
También se obtiene la tasa de crecimiento del índice de concentración a partir
del número de empresas maquiladoras en Ciudad Juárez en relación con las del
estado de Chihuahua.
En nuestro análisis empírico aproximamos los costos de fondeo de empresas domésticas a través de la tasa de crecimiento promedio anual de los Cetes a 28 días. Es probable que los agentes económicos no tomen decisiones de fondeo de producción (crédito) con base en una observación de la tasa de interés.
La variable relevante para la demanda de créditos es el valor presente neto del costo de fondeo. Así, para capturar las expectativas en el costo de fondeo, obtenemos un promedio móvil de 12 meses de la tasa de interés y posteriormente obtenemos la tasa de crecimiento anual de esta variable. De manera similar, el costo de fondeo de oferentes extranjeros es aproximado a través del promedio móvil de 12 meses de la tasa de interés de Estados Unidos.
La frecuencia de las observaciones para todas las variables es mensual, a partir de enero de 1999 hasta octubre de 2006. La muestra incluye 70 observaciones. La fuente de información para las variables del índice de integración e índice de concentración se obtiene del Sistema de información y consulta empresarial del gobierno del estado y del Banco de Información Económica del inegi. La información sobre la tasa de interés, tipo de cambio y el índice de precios al productor del sector manufacturero se recopila del Banco de México (Banxico, 2008). La fuente de las variables de producción y precios de Estados Unidos son la información estadística del Departamento del Trabajo de Estados Unidos (Bureau of Labor Statistics).
3.3. Resultados de la estimación
Los resultados del modelo econométrico se muestran en el cuadro 1. Este modelo se estimó con mínimos cuadrados ordinarios. Se añade una variable {T}n=70 a la especificación econométrica (9) para controlar posibles efectos de tendencia temporal. Los resultados muestran que incrementos en la tasa de crecimiento del tipo de cambio están negativamente correlacionados con la tasa de crecimiento de la integración vertical entre la industria doméstica y la maquiladora en Ciudad Juárez. El efecto de los cambios relativos entre los insumos domésticos y extranjeros es estadísticamente significativo a un nivel de confianza de 99 por ciento.
El resultado para el mercado de bienes manufactureros en EU (IPI) nos indica que incrementos en la producción industrial en Estados Unidos están asociados con una reducción del índice de integración F t. Además este efecto no es estadísticamente diferente de cero a un 90% de confianza, y el efecto marginal es inelástico (cuadro 1). Este resultado puede explicarse de la siguiente manera: un incremento en la producción de la ime tiende a aumentar la demanda de todos los insumos de producción. Si el incremento en la demanda de insumos extranjeros por un incremento de la producción es mayor que el incremento de la demanda de insumos domésticos, entonces un aumento de la producción reduce F t. Nuestro trabajo empírico sugiere que éste es el caso.
La tasa de crecimiento de la tasa de interés es consistente con nuestras expectativas. Es decir, mayores costos de fondeo están asociados negativamente con la integración vertical y son diferentes de cero a un nivel de confianza estadística de 90%. Esta evidencia sugiere que las significativas reducciones en la tasa de interés entre 1999 y 2003 contribuyen a explicar el dramático incremento en la integración vertical experimentado en ese periodo.
El resultado del efecto de la tasa de interés de Estados Unidos sobre la integración vertical también concuerda con nuestras expectativas. Es decir, incrementos del costo financiero en EU están positivamente asociados en la integración de la industria nacional con la maquiladora, y el efecto es diferente de cero a un nivel de confianza estadística de 99%. El efecto marginal de la tasa de cambios en la tasa de interés en EU, es mucho mayor que aquél de la tasa de interés en México. Es posible que esto se deba a la falta de credibilidad de la política monetaria en México (en comparación con la política monetaria de EU).[13]
Cuadro 1
Estimación de la integración interindustrial en Ciudad Juárez
|
Ft = 0.769 - 81.350 e - 0.773 IPI - 0.009 r + 0.506 rusa - 2.459 IC - 0.549 Ft-1 |
|
t = (1.45) (-3.32)* (-0.17) (-2.54)* (2.31)* (-0.89) (5.1)* |
|
R2 ajustada = 0.75 F=29.03 d=2.09 n=70 |
Entre paréntesis se encuentran los valores de las pruebas de significancia estadística t.
*Estadísticamente diferente de cero para un nivel de confianza de 99 por ciento.
Fuente: Elaborado por los autores con los datos de los resultados del modelo econométrico.
El efecto marginal de una mayor concentración de establecimientos maquiladores en Ciudad Juárez no ayuda a explicar las variaciones de la tasa de crecimiento de la integración vertical. El estadístico está negativamente correlacionado con la integración vertical, lo que sugiere que el establecimiento de un mayor número de empresas maquiladoras no induce a una mayor participación de los insumos locales. Sin embargo, la prueba de hipótesis individual sobre δ sugiere que el efecto sobre la integración vertical de una mayor concentración de la industria maquiladora en Ciudad Juárez no es estadísticamente diferente de cero.
El índice de integración rezagado en el periodo pasado tiene el signo esperado (positivo) y su efecto es diferente de cero con un nivel de confianza de 99%. Como mencionamos, este resultado puede ser evidencia de relaciones monopolísticas bilaterales entre la industria maquiladora y sus oferentes. Así, esta evidencia sugiere que el efecto de un incremento en el comercio interindustrial entre la maquiladora y los oferentes extranjeros (que en promedio, en el periodo de la muestra, la proporción del comercio interindustrial entre la maquiladora de Ciudad Juárez y los oferentes no domésticos fue de 98.21%) representa una significativa barrera para la integración vertical en México. Aunque no es la única solución o la concluyente, es posible que la adaptación y seguimiento de clusters como estrategia de desarrollo empresarial local o regional, pudiera mejorar los indicadores de desempeño comercial interindustrial y reducir de manera gradual estas barreras a la entrada.
El modelo también sugiere que una vez que controlamos los efectos de las variaciones de precios, producción y otras limitantes de la integración vertical, la tendencia de la tasa de crecimiento en la integración vertical entre las industrias nacional y maquiladora es negativa, pero no es diferente de cero para un nivel de confianza estadística de al menos 90%. En los estadísticos generales se puede observar una R2ajustada de 75% aproximadamente, lo que se considera un ajuste razonable. La prueba general del modelo (la prueba F) es de 29.03, es decir, conjuntamente las variables consideradas en la ecuación (9) sí explican las variaciones de la tasa de crecimiento de la integración interindustrial.
Conclusiones
La relación interindustrial entre las empresas domésticas y la maquiladora evidencia una escasa integración vertical de los insumos de procedencia nacional utilizados en los procesos de producción de la maquila. La pregunta de investigación que se estudia en este artículo es: ¿en qué medida la demanda de insumos domésticos por la industria maquiladora explica la ausencia de integración vertical? En este documento desarrollamos los modelos teórico y empírico que ayudan a explicar la integración interindustrial de la industria mexicana localizada en Ciudad Juárez con la maquiladora.
Teóricamente se contribuye al estudio de la integración interindustrial México-Estados Unidos al presentar un modelo de demanda de insumos nacionales y extranjeros de la maquiladora. El análisis teórico sugiere que una depreciación del tipo de cambio puede inducir a una menor integración vertical si la productividad marginal cruzada entre los insumos nacionales y domésticos es negativa. En este caso, una menor integración vertical se debe a que depreciaciones de la moneda doméstica incrementan la demanda de ambos insumos. Si la sensibilidad de la demanda de insumos extranjeros a variaciones en el tipo de cambio es mayor que las variaciones en la demanda de insumos domésticos, entonces una depreciación del tipo de cambio resultará en una menor integración de la industria nacional con la maquiladora.
En este artículo también desarrollamos un análisis empírico sobre la integración vertical. La evidencia empírica soporta la hipótesis teórica de que depreciaciones del tipo de cambio afectan negativamente la integración vertical entre la industria local en Ciudad Juárez y la industria maquiladora. Adicionalmente, se muestra evidencia de que variaciones del índice de producción industrial en EU están negativamente correlacionadas con la integración interindustrial, aunque este efecto no es significativo. De manera similar, incrementos en la concentración de establecimientos maquiladores están negativamente correlacionados con la integración vertical, aunque este efecto no es estadísticamente significativo. El signo negativo de una mayor concentración de la maquiladora en Ciudad Juárez sobre la integración vertical puede reflejar que empresas extranjeras se localizan en la entidad para competir en la provisión de insumos con la industria nacional.
Nuestro análisis también sugiere que variaciones positivas en la tasa de interés en México y Estados Unidos reducen e incrementan, respectivamente, la integración vertical. Las tasas de interés influyen en la integración vertical al modificar los costos marginales de producción (lo que influye en la oferta de insumos) de las industrias nacional y extranjera.
Finalmente, utilizamos el índice de integración rezagado que resulta ser positivo y significativo, lo que sugiere que bajos niveles de integración vertical en el pasado están asociados con bajos niveles de integración vertical en el futuro. Este resultado se podría explicar por la existencia de contratos de largo plazo y relaciones monopolísticas bilaterales que pueden contribuir a establecer barreras de entrada a nuevos proveedores, lo que a su vez puede inducir una baja integración vertical de la industria maquiladora con la industria nacional.
Apéndice
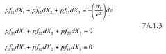
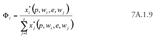
Propuesta: asuma que la tecnología
de producción está definida por f (x1, x2,.....xz-1), donde x = (x1, x2 ,.....xz-1) es el vector de insumos. La firma busca maximizar. En este caso
representa el índice de integración
del insumo x*i (p, wi, e, wj). Es simple verificar que dΦi /de ><0.
Prueba: en esta sección se desarrolla
el modelo de maximización de beneficios para una maquiladora que busca
maximizar
![]()
Las
condiciones de optimalidad están dadas por

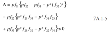
Diferenciando totalmente el sistema para z=3 y denotando wi xi = w1x1 obtenemos

Así, definimos Δ como se muestra en 7A.1.4

Donde

Los resultados del análisis de estática comparativa implican que:

Así, dado que ∆≤ 0, si {p2 f22 p33
– p2 (f32)2}≥0 entonces
≥0. Es decir, depreciaciones del tipo de
cambio incrementan la demanda del insumo doméstico. De otra manera
< 0.
En cuanto a las demandas de los insumos extranjeros, el análisis
de estática comparativa señala que
.
Es decir,

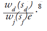
Ahora definimos el índice de integración vertical de la industria nacional con la industria maquiladora como
![]()
Es simple ver que dΦi
/de ≥<0,
como se demostró en el modelo teórico simplificado.
Bibliografía
Banco de México, banco de datos, www.banxico.gob.mx, 24 de
octubre de 2008.
Banco de México, Estadísticas, <http://www.banxico.gob.mx/polmoneinflacion/estadisticas/indicesPrecios/indicesPreciosProductor.html>, <http://www.banxico.gob.mx/polmoneinflacion/estadisticas/tasasInteres/tasasInteres.html>, <http://www.banxico.gob.mx/PortalesEspecializados/tiposCambio/indicadores.html>, actualización marzo de 2009, 15 de agosto de 2008.
Barajas, María del Rosío, Carmen Rodríguez y Aracely Almaraz (2007), “Complejidad tecnoproductiva y su relación con la formación de capacidades tecnológicas y organizacionales en la industria maquiladora de exportación”, en Jorge Carrillo y María del Rosío Barajas (coords.), Maquiladoras fronterizas. Evolución y heterogeneidad en los sectores electrónico y automotriz, El Colegio de la Frontera Norte-Porrúa, México, pp. 147-151.
Carrillo, Jorge y Redis Gomis (2007), “La relevancia económica y el perfil de las maquiladoras electrónicas y de autopartes en tres ciudades del norte de México (1990-2003), en Jorge Carrillo y Rosío Barajas (coords.), Maquiladoras fronterizas. Evolución y heterogeneidad en los sectores electrónico y automotriz, El Colegio de la Frontera Norte-Porrúa, México, pp. 17-33.
Departamento del Trabajo de Estados Unidos, http://www.bls.gov/home.htm, agosto de 2009.
Departamento del Trabajo de Estados Unidos, U.S. Bureau of Labor Statistics, <http://www.bls.gov/ppi/#tables, http://www.bls.gov/lpc/#tables>, actualización 16 de abril 16 de 2009, octubre 2008.
Gómez Vega, María del Carmen (2004), “El desarrollo de la industria de la maquila en México”, Problemas del Desarrollo, 35 (138), Universidad Nacional Autónoma de México, México, pp. 74-81.
Guzmán, Alenka y Alejandro Toledo (2005), “Competitividad manufacturera de México y China en el mercado estadounidense”, Economíaunam, 2 (4), Universidad Nacional Autónoma de México, México, pp. 95-111.
Hernández-Gómez, Emilio y Jocelyne Rabelo Ramírez (2005), “Perspectivas institucionales para una política industrial regional de redes”, Comercio Exterior, 55 (4), Banco Nacional de Comercio Exterior, México, pp. 322-328.
inegi (Instituto Nacional de Estadística, Geografía e Informática), Banco de datos, www.inegi.com.mx.
inegi (Instituto Nacional de Estadística, Geografía e Informática), Banco de información económica, cobertura temática, http://dgcnesyp.inegi.org.mx/cgi-win/bdieintsi.exe/NIVJI50002000 60035#ARBOL, actualización 2 de abril de 2008, 25 de octubre de 2008.
Jiménez, Ramsés (2005), “Integración vertical de la industria nacional hacia la ime: los insumos nacionales en Chihuahua”, ponencia presentada en el IX Simposium Internacional de Contaduría y Finanzas, Ciudad Obregón, Sonora, octubre.
Jiménez, Ramsés (2006a), “Comercio interindustrial de la industria nacional y la industria maquiladora de exportación”, conferencia Lineae Terrarum uacj-utep, publicación en memorias en extenso, marzo, pp. 2-12.
Jiménez, Ramsés (2006b), “Comercio interindustrial, maquiladoras e industria nacional en el estado de Chihuahua”, Foro Económico Nacional, uacj, Ciudad Juárez, 18 de enero, pp. 3-9.
Plasencia, Ismael (2005), “La Toyota en Tijuana: ¿oportunidad para las pequeñas y medianas empresas?”, Comercio Exterior, 55 (4), Banco Nacional de Comercio Exterior, México, pp. 329-355.
Puyana, Alicia y José Antonio Romero (2005), “La maquila (fragmentación de los procesos productivos) y su impacto sobre las remuneraciones a los factores”, Problemas del Desarrollo, 36 (141), Universidad Nacional Autónoma de México, México, pp. 168-180.
Sistema de información y consulta empresarial, <http://www.chihuahua.gob.mx/red>, agosto de 2009.
Recibido: 1 de diciembre de 2009.
Reenviado: 7 de octubre de 2010.
Aceptado: 9 de mayo de 2011.
Raúl Alberto Ponce-Rodríguez. Es doctor en economía por la Universidad Estatal de Georgia, donde recibió el Jack Blicksilver Award en 2006 como un estudiante destacado del programa de doctorado, así como dos reconocimientos de Phi Beta Delta Honor Society for International Scholars. En 2002 obtuvo el grado de maestría en economía en la Universidad de Brown y en 1999 una maestría en economía con especialidad en economía industrial en la Universidad Autónoma de Nuevo León. Se ha desempeñado como profesor de tiempo completo en la Universidad Autónoma de Ciudad Juárez (uacj) desde 1998. Es miembro del Sistema Nacional de Investigadores (sni). Sus más recientes publicaciones incluyen: Competencia política y las finanzas públicas de los gobiernos estatales y locales, Universidad Autónoma de Ciudad Juárez, Ciudad Juárez (2010); en coautoría, “Do Remittances Crowd Out the Government’s Redistributive Policy?”, Journal of Economic Development, 35 (4), Chung-Ang University, Seúl, pp. 1-27 (2010); “Externalidades regionales y la provisión de bienes públicos locales en un sistema descentralizado de gobiernos subnacionales”, Frontera Norte, 22 (43), Colegio de la Frontera Norte, Tijuana, pp. 159-185 (2010).
Ramsés Jiménez-Castañeda. Es maestro en ciencias económicas por la Universidad Autónoma de Ciudad Juárez (uacj), donde también cursó la licenciatura. Actualmente es coordinador del programa de la licenciatura en economía de la uacj. Es profesor de tiempo completo y desde el año 2005 obtuvo el Perfil Promep. Pertenece al cuerpo académico en formación 41: Estudios territoriales de economía, población y desarrollo. Las líneas de investigación que actualmente trabaja son: empresa, mercado y competitividad; economía aplicada y modelación. Entre sus publicaciones destacan: “Comercio interindustrial, maquiladoras e industria nacional en el estado de Chihuahua”, en La competitividad internacional de México y el futuro de la industria maquiladora, uacj, Ciudad Juárez, pp. 33-52 (2006); “Rotación de personal: evidencia empírica para Ciudad Juárez”, publicación en memorias en extenso, cd, en el XI Simposium Internacional de Contabilidad y Finanzas, Ciudad Obregón, Sonora, 17 de octubre de 2007.
[1]1 La fuente de la información estadística es el inegi, diversos años.
[2] Para simplificar, en este documento los términos integración interindustrial e integración vertical se utilizan como sinónimos para expresar el comercio interindustrial entre las industrias nacional y la maquiladora.
[3] El mercado final de bienes industriales puede ser aproximado por la producción industrial, si en el equilibrio la demanda es equivalente a la oferta. En este documento asumimos que éste es el caso, por ello, el índice de producción industrial en Estados Unidos aproxima el mercado final de bienes industriales.
[4] En el análisis de Jiménez (2005), reducciones en los precios de los
insumos inducen un efecto sustitución y un efecto renta. En cuanto al efecto
sustitución, las firmas tienden a sustituir el insumo que experimentó la
reducción en el precio por el insumo relativamente más caro. El efecto renta
refleja el hecho de que una reducción en el precio de uno de los insumos
permite liberar recursos financieros del presupuesto de las firmas, lo que a su
vez puede inducir una mayor demanda de insumos.
[5] Según esta autora, existe evidencia que las maquilas asiáticas y europeas buscan proveedores locales como política estratégica de operación.
[6] Se refiere a la producción final de bienes y su proceso de manufactura en dos países.
[7] La introducción de la calidad de los insumos se emplea en nuestro modelo para justificar la distribución de precios de insumos diferenciados.
[8] Éste no es el único resultado que puede surgir de una depreciación del tipo de cambio. En teoría también es posible que un incremento del tipo de cambio aumente la demanda del insumo doméstico y reduzca la demanda del insumo extranjero.
[9] Para minimizar la varianza y efectos estacionales, además esta medida resulta útil para homogeneizar las variables en sus unidades de medición.
[10] El índice de concentración refiere al número de establecimientos maquiladoras en Juárez, en relación con el total de estas empresas en el estado.
[11] Si las firmas financian su producción vía crédito, es fácil observar que incrementos en las tasas de interés aumentan el costo marginal de producción y por tanto reducen la producción de la firma.
[12] Recordando que la demanda de insumos totales de la ime es la suma de las de materias primas, envases y empaques de procedencia nacional y extranjera, la cual mide el inegi.
[13] La falta de credibilidad de la política monetaria en México (al menos en el periodo de la muestra) puede afectar la sensibilidad de cambio de la tasa de interés doméstica sobre la integración, ya que reducciones en del costo financiero en el corto plazo (como reducciones de la tasa de interés en los últimos 6, 12 o 18 meses) pueden no reducir significativamente las expectativas sobre el costo presente neto del fondeo, si los agentes tienen expectativas persistentes de que el costo financiero puede elevarse en el futuro.